배치 정규화 Batch Normalization
- 각 층이 활성화를 적당히 퍼뜨리도록 '강제'하는
아이디어에서 출발한 방법
6.3.1 배치 정규화 알고리즘
- 학습을 빨리 진행할 수 있다.
- 초기값에 크게 의존하지 않음
- 오버피팅을 억제함 (dropout 등의 필요성 감소

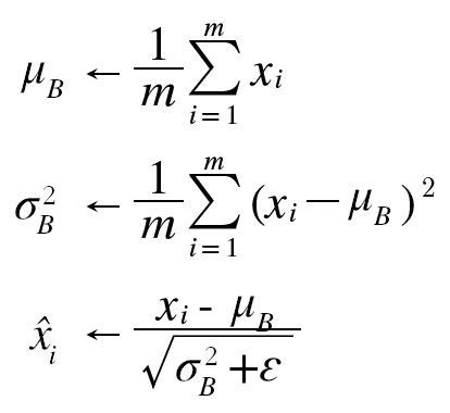
배치 정규화는 학습 시 미니배치를 단위로 정규화한다. 데이터 분포가 평균이 0, 분산이 1이 되도록 정규화한다.
(정규분포, Normal Distribution)

##검증은 다음과 같다.

ε은 아주 작은 값으로 divide by zero를 막기 위함이다.
배치 정규화 계층마다 이 정규화된 데이터에 고유한 확대(scale)와 이동(shift)변환을 수행한다.


6.3.2 배치 정규화의 효과

배치 정규화시 더 빠른 것을 알 수 있다.
'머신 러닝 및 파이썬 > 밑바닥부터 시작하는 딥러닝' 카테고리의 다른 글
| Ch.6 학습 관련 기술들/ 6.4.3 드롭아웃 (0) | 2020.03.11 |
|---|---|
| Ch.6 학습 관련 기술들/ 6.4.1 오버피팅 (0) | 2020.03.11 |
| Ch.6 학습 관련 기술들/ 6.2 가중치의 초기값 (0) | 2020.03.11 |
| Ch.6 학습 관련 기술들/ 6.1.4~6 모멘텀, AdaGrad, Adam (0) | 2020.03.10 |
| Ch.6 학습 관련 기술들/ 6.2 확률적 경사 하강법 (0) | 2020.03.10 |